Zum Inhalt springen

Dotz Crunch 8X17 Gutachten o.Ä Alufelge (235/65R17)


Andi-Muc

Empfohlene Beiträge

Guten Abend,

 

bitte nicht steinigen ich habe umfangreich die Suche bemüht... vielleicht kann mir einer weiterhelfen. Im Tx Board bin ich auf ein Gutachten zu 8x17 gestossen, allerdings mit ET48.

Ich würde gerne o.g Felge ET35 mit den Reifen fahren. Hat da jemand zufällig was für den Herren in dem blauen Kittel?

Fahrzeug ist höhergelegt.

 

Danke

Andi

Link zu diesem Kommentar
  • Antworten 13
  • Erstellt
  • Letzte Antwort

Top-Benutzer in diesem Thema

  • Andi-Muc

    7

  • PaulMZB

    3

  • JoJoM

    2

  • segelflieger

    1

Top-Benutzer in diesem Thema

Veröffentlichte Bilder

Hallo Andi,

 

hast Du mal den Radkonfigurator von Dotz probiert?

You do not have the required permissions to view the link content in this post.

 

Angeblich soll man dann auch zum Gutachten kommen.

Link zu diesem Kommentar

Ja vom TÜV Austria... der "blaue" kann wohl kein Österreichisch.. :confused:

Link zu diesem Kommentar

Hallo Andi,

 

hier in DON wurden mir die Felgen durch den TÜV Süd mit dem Gutachten von der Dotz Homepage vom TÜV Austria anstandslos eingetragen. :)

Allerdings mit der Serienreifendimension 235/55R17

 

Gruß

 

Gerald

Link zu diesem Kommentar

Hallo,

 

die "gschicht" is ein wenig komplizierter, bzw. eigentlich auch ned...

also der cali kommt ja erst noch, und ich wollte das er gleich auf der Felgen/Reifenkombi ausgeliefert wird.

Und somit mir einen Gang zur Zulassungsstelle sparen, so dass er gleich die 235/65 mit den Felgen sowie die Originalfelgen mit den 235/55 eingetragen wird.

Nur scheints das der :D mit seinem TÜV'ler es nicht hinbekommt, da ich Vorab gefragt habe nicht das ich die Reifen und Felgen umsonst kaufe.

 

Ich habe die Reifen und Felgen nun bestellt, werde sie ihnen liefern die relevanten Stellen im Gutachten markieren, Ihnen aufschreiben was sie mit dem Tacho machen müssen...ect.. und wenn sie es nicht hinbekommen, fahre ich zu einem anderen TÜV'ler.

Link zu diesem Kommentar

You do not have the required permissions to view the quote content in this post.

 

Da müssten sich die Seikeler mal melden.

 

Ich vermute mal, dass Du 235/65 und 235/55 nicht gleichzeitig eingetragen bekommst, weil da wohl jedes Mal beim Wecchseln der Tacho neu angeglichen werden muss.

Link zu diesem Kommentar

Jepp, aber steht das dann nicht mit im Schein? mit vcds ändern und gut is... Wenn nicht muss das kurze Getriebe ja viel schneller her... :eek::crying:

Wobei erstmal sehen wie es sich so fährt... Der 14' t3 mit JX und 69 turbostarken pferdchen sowie 16' Reifen ging mit öfter runterschalten.... wenn auch im 2 ten gang den irschenberg rauf... Mit 110 PS AFN wars dann optimal :D

Seikel bietet ja nur 7,5Jx17 auf Orginal Stahlfelgen an... Mit dieser Bereifung...:evil:

Link zu diesem Kommentar
  • 2 Monate später...

Hallo,

 

wäre es möglich mir ne Scheinkopie oder irgendwas zu der Reifengröße zu zusenden???

----> siehe wartezimmer

 

Danke

Andi

Link zu diesem Kommentar
  • 1 Jahr später...

Servus!

 

Möchte auch im Herbst von VW Dakar auf die DOTZ Crunch wechseln.

Gibt es noch was zu beachten? Geseikelt ist ja schon und andere Reifengröße ist auch schon eingetragen.

 

 

Paul

Link zu diesem Kommentar

Servus Paul,

 

was meinst du genau mit "beachten "?

Vielleicht hilft das schonmal weiter ->

You do not have the required permissions to view the image content in this post.

Link zu diesem Kommentar

Servus zam,

 

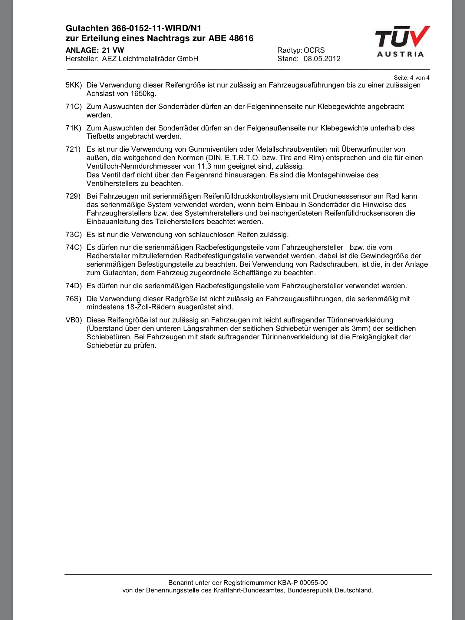
@ Thom-sen hilft nicht wirklich weiter, da die 235/65R17 nicht aufgeführt sind, zumindest der Süd-Bayerische TÜV stellte sich quer...

ich hab die Rad-Reifen Kombination dann bei Terranger's TÜV'i eintragen lassen, da ich sowieso wegen dem Heckträger bei denen war.

 

@ Paul

soweit ich mich erinnere, hast du 18Zoll Felgen drauf? Magst du wieder auf 17er runtergehen?

 

Ich möchte zukünftig auf 245/70R17 gehen. Hat jemand Interesse an 235/65R17 Yokohama Geolandar? 😊 2xok 2xgut 1xNeu :D

 

Grüße

Andi

Link zu diesem Kommentar

You do not have the required permissions to view the quote content in this post.

 

Ja Andi, ich will ja, wie schon geschrieben, zum Saisonwechsel im Herbst von den 18" VW Dakar auf die 17" Dotz Crunch wechseln. Vermutlich mit Grabber AT3 wgen Speedindex "H".

Deine Geolandar haben ja "S", glaube ich.

Sonst wäre das vielleicht was für mich. Die Nasshaftung soll ja bei beiden eher suboptimal sein.

 

Grüße, Paul

Link zu diesem Kommentar

Hi, Paul

 

die Geolandar haben Speedindex H, die Wunsch Reifen BF Goodrich 245/70R17 haben S. Ich hab das bei

der Abenteuer Allrad beim Seikel mal gesehen, auf deren Homepage ist es auch aufgeführt.

Wobei noch größer = weniger Durchzugskraft... :confused::rant:

irgendeinen tod muss man sterben.. und wenns die Kupplung ist :eek::eek::D

 

Du kannst ja mal Probefahren wenn du möchtest

 

Grüße

Andi

Link zu diesem Kommentar

You do not have the required permissions to view the quote content in this post.

 

Okay, spätestens beim Stammtisch...

Link zu diesem Kommentar

Dein Kommentar

Du kannst jetzt schreiben und Dich später registrieren. Wenn Du ein Konto hast, melde Dich jetzt an, um unter Deinem Benutzernamen zu schreiben.

Gast
Auf dieses Thema antworten...

×   Du hast formatierten Text eingefügt.   Formatierung wiederherstellen

  Nur 75 Emojis sind erlaubt.

×   Dein Link wurde automatisch eingebettet.   Einbetten rückgängig machen und als Link darstellen

×   Dein vorheriger Inhalt wurde wiederhergestellt.   Editor leeren

×   Du kannst Bilder nicht direkt einfügen. Lade Bilder hoch oder lade sie von einer URL.

  • Von 1 Mitglied gesehen

    calikutscher



×
×
  • Neu erstellen...

Wichtige Information

Wir haben Cookies auf Deinem Gerät platziert. Das hilft uns diese Webseite zu verbessern. Du kannst die Cookie-Einstellungen anpassen, andernfalls gehen wir davon aus, dass Du damit einverstanden bist, weiterzumachen.